LV. Medium 🧐
https://leetcode.com/problems/reorder-list/
Reorder List - LeetCode
Level up your coding skills and quickly land a job. This is the best place to expand your knowledge and get prepared for your next interview.
leetcode.com
문제
You are given the head of a singly linked-list. The list can be represented as:
L0 → L1 → … → Ln - 1 → Ln
Reorder the list to be on the following form:
L0 → Ln → L1 → Ln - 1 → L2 → Ln - 2 → …
You may not modify the values in the list's nodes. Only nodes themselves may be changed.
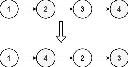
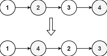
Example 1:

Input: head = [1,2,3,4]
Output: [1,4,2,3]
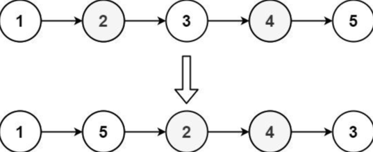
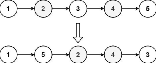
Example 2:

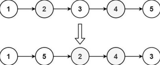
Input: head = [1,2,3,4,5]
Output: [1,5,2,4,3]
Constraints:
- The number of nodes in the list is in the range [1, 5 * 104].
- 1 <= Node.val <= 1000
문제 해결법
앞과 뒤의 값을 순차적으로 가져와 새로운 리스트를 만들기
새로운 리스트가 가지고 있을 val값을 저장할 백터를 만들어 저장 후 마지막에 다시 nodelist에 val 값을 넣어줬다
아래 nodelist가 있다고 생각하자
[1, 2, 3, 4]
제일 앞의 값 1을 첫 번째의 새로운 리스트의 val값으로 가져온다
앞의 값을 사용했을때는 -1으로 바꿔준다
[-1, 2, 3, 4] -> [1]
이제 제일 뒤의 값 4을 0으로 바꿔준다
그리고 뒤의 값은 사용했으면 0으로 바꿔준다
[-1, 2, 3, 0] -> [1, 4]
이제 앞에서부터 -1가 없을 때까지 뒤로 간 다음에 나온 수 2를 가져온다
그리고 2를 사용했으니 앞의 값이니깐 -1로 바꿔준다
[-1, -1, 3, 0] -> [1, 4, 2]
뒤의 값을 가져올 차례니깐 앞에서부터 0이 있을때까지 뒤로 간 다음 앞의 값인 3을 가져온다
3을 사용했으니 0으로 바꿔주면 새로운 리스트 [1, 4, 2, 3]가 만들어졌다
해결 코드
class Solution {
public:
void reorderList(ListNode* head) {
vector<int> reorder;
while (1) {
// first node
reorder.push_back(first_node(head));
if (reorder.back() <= 0)
break ;
//last node
reorder.push_back(last_node(head));
if (reorder.back() <= 0)
break ;
}
// 완성된 값을 head에 저장
int i = 0;
while (head) {
head->val = reorder[i];
head = head->next;
i++;
}
}
int first_node(ListNode* head) {
ListNode *start = head;
int val;
while (start && start->val == -1) {
start = start->next;
}
if (!start)
return 0;
val = start->val;
start->val = -1;
return val;
}
int last_node(ListNode* head) {
ListNode *last = head;
ListNode *before = head;
int val;
while (last && last->val != 0 && last->next) {
val = last->val;
before = last;
last = last->next;
}
if (last->val == 0) {
before->val = 0;
return val;
}
if (!last->next) {
val = last->val;
last->val = 0;
return val;
}
return 0;
}
};

'Computer Science > 알고리즘' 카테고리의 다른 글
| leecode 1463) Cherry Pickup II (0) | 2022.01.08 |
|---|---|
| leetcode 382) Linked List Random Node (0) | 2022.01.08 |
| leetcode 231) Power of Two (0) | 2022.01.05 |
| leetcode 416) Partition Equal Subset Sum (0) | 2022.01.04 |
| leetcode 221) Maximal Square (0) | 2022.01.04 |
댓글