반응형
LV. Medium 🧐
https://leetcode.com/problems/all-elements-in-two-binary-search-trees/
All Elements in Two Binary Search Trees - LeetCode
Level up your coding skills and quickly land a job. This is the best place to expand your knowledge and get prepared for your next interview.
leetcode.com
문제
Given two binary search trees root1 and root2, return a list containing all the integers from both trees sorted in ascending order.
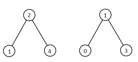
Example 1:

Input: root1 = [2,1,4], root2 = [1,0,3]
Output: [0,1,1,2,3,4]
Example 2:

Input: root1 = [1,null,8], root2 = [8,1]
Output: [1,1,8,8]
Constraints:
- The number of nodes in each tree is in the range [0, 5000].
- -10^5 <= Node.val <= 10^5
문제 해결법
vector<int> ans에 노드 1, 노드 2를 다 돌며 val 값을 저장한다.
그 후 sort를 하고 return 하면 끝!
해결 코드
class Solution {
private:
vector<int> ans;
public:
vector<int> getAllElements(TreeNode* root1, TreeNode* root2) {
set_ans(root1);
set_ans(root2);
sort(ans.begin(), ans.end());
return ans;
}
void set_ans(TreeNode* root) {
if (!root)
return ;
ans.push_back(root->val);
set_ans(root->left);
set_ans(root->right);
}
};

728x90
'Computer Science > 알고리즘' 카테고리의 다른 글
| leetcode 121) Best Time to Buy and Sell Stock (0) | 2022.02.01 |
|---|---|
| leetcode 189) Rotate Array (0) | 2022.01.30 |
| leetcode 1510) Stone Game IV (0) | 2022.01.25 |
| leetcode 941) Valid Mountain Array (0) | 2022.01.25 |
| leetcode 1291) Sequential Digits (0) | 2022.01.25 |
댓글