반응형
LV. Medium 🧐
https://leetcode.com/problems/sort-list/
Sort List - LeetCode
Level up your coding skills and quickly land a job. This is the best place to expand your knowledge and get prepared for your next interview.
leetcode.com
문제
Given the head of a linked list, return the list after sorting it in ascending order.
Example 1:

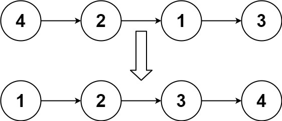
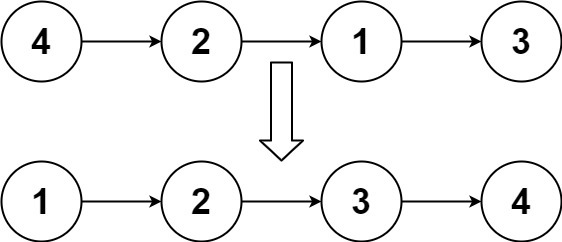
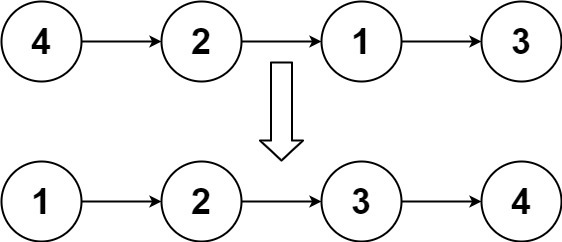
Input: head = [4,2,1,3]
Output: [1,2,3,4]
Example 2:

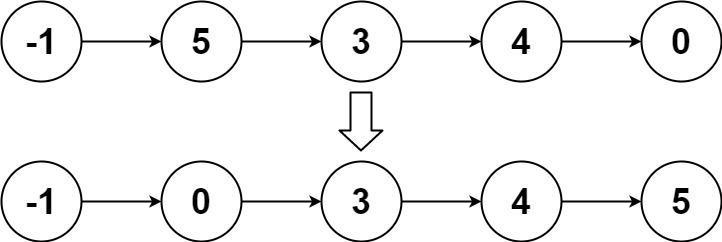
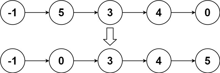
Input: head = [-1,5,3,4,0]
Output: [-1,0,3,4,5]
Example 3:
Input: head = []
Output: []
Constraints:
- The number of nodes in the list is in the range [0, 5 * 10^4].
- -10^5 <= Node.val <= 10^5
문제 해결법
vector<int> num_list를 둬서 ListNode를 한번 돌면서 val 값을 다 저장한다.
num_list를 정렬하고 다시 ListNode를 한번 돌면서 val 값을 정렬된 수로 업데이트해준다.
시간 복잡도는 sort을 써서 nlogn이다.
해결 코드
class Solution {
public:
ListNode* sortList(ListNode* head) {
vector<int> num_list;
ListNode *temp = head;
while(temp) {
num_list.push_back(temp->val);
temp = temp->next;
}
sort(num_list.begin(), num_list.end());
int i = 0;
temp = head;
while(temp) {
temp->val = num_list[i++];
temp = temp->next;
}
return head;
}
};

728x90
'Computer Science > 알고리즘' 카테고리의 다른 글
| leetcode 228) Summary Ranges (0) | 2022.02.28 |
|---|---|
| leetcode 165) Compare Version Numbers (0) | 2022.02.25 |
| leetcode 133) Clone Graph (0) | 2022.02.23 |
| leetcode 171) Excel Sheet Column Number (0) | 2022.02.22 |
| leetcode 169) Majority Element (0) | 2022.02.21 |
댓글